Key Takeaways:
- Calculating weighted averages in Excel is essential for accurate financial analysis, academic grading, and inventory valuation, but traditional formulas like
SUMPRODUCTrequire technical Excel knowledge - Excelmatic eliminates the need to memorize complex formulas by allowing you to calculate weighted averages using simple language commands
- Compared to manual formula methods, Excelmatic handles complex multi-criteria calculations instantly, reducing errors and saving valuable time
- For business professionals in marketing, sales, and operations, adopting AI tools like Excelmatic means focusing on data insights rather than technical implementation
Weighted averages show up everywhere in data analysis, from calculating your GPA to determining portfolio returns. Unlike simple averages that treat all data points equally, weighted averages recognize that some values deserve more influence than others. This makes them incredibly useful when you're dealing with data of varying importance or frequency.
What Is a Weighted Average?
A weighted average assigns different levels of importance to individual data points based on predetermined weights. While a simple average treats all values equally, a weighted average multiplies each value by its corresponding weight before calculating the final result.
Here's the key insight: weights directly control how much each data point influences the final average. A data point with a higher weight pulls the result closer to its value, while lower-weighted points have less impact. This gives you much more control over your calculations and often produces more meaningful results.
Weighted averages differ from simple averages in one important way: they account for the relative significance of each data point rather than assuming all points are equally important.
Understanding The Weighted Average Formula
Now that we've established what weighted averages are and why they matter, let's dive into the mathematical foundation that makes them work.
Mathematical definition and core principles
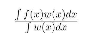
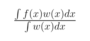
The weighted average formula combines each data point with its corresponding weight:

Where Σ represents the sum of all terms. Each value gets multiplied by its weight, then you add up all these products and divide by the total of all weights.
In most practical contexts (probabilities, frequencies, and shares), weights are non-negative and often normalized to sum to 1 (or to the total count). In specialized methods, negative weights can appear, but they may yield counterintuitive results and should be used with care. Always ensure the sum of weights is greater than zero to avoid division by zero.
This formula ensures that higher-weighted values have proportionally more influence on the final result. For example, if one data point has a weight of 10 and another has a weight of 1, the first point contributes ten times more to the final average.
Normalization and special cases
Normalization means scaling weights so they sum to 1, making each weight directly interpretable as a percentage contribution. When $(sum_i w_i = 1)$, the weighted average simplifies to $(sum_i w_i x_i)$. In probability contexts, these weights are probabilities and the weighted average is the expected value.
This normalized approach is especially useful in probability contexts, where weights represent probabilities that must sum to 1. In these cases, the weighted average becomes the expected value of the distribution.
Why and When to Use Weighted Averages
With the mathematical groundwork in place, you might be wondering when weighted averages become the better choice over simple averages. The answer lies in recognizing when your data naturally has varying levels of significance.
Weighted averages become essential when your data points naturally have different levels of importance or frequency. You'll find weighted averages work better than simple averages when data points represent different sample sizes, time periods, or levels of reliability. For instance, when calculating average test scores across different class sizes, larger classes should influence the overall average more than smaller ones.
Weighted averages are particularly valuable in financial calculations (portfolio returns), academic grading (different assignment weights), survey analysis (demographic adjustments), and inventory management (cost averaging across different purchase quantities).
Common Challenges with Weighted Averages
While weighted averages are powerful tools, they come with their own set of potential pitfalls that you'll want to navigate carefully.
Weight selection
The most critical challenge lies in choosing appropriate weights, which requires domain expertise and careful consideration of what each data point represents. Poor weight selection can skew results dramatically and lead to misleading conclusions.
For example, if you're calculating customer satisfaction scores and accidentally assign higher weights to less reliable data sources, your final average won't accurately reflect true customer sentiment. Always ensure your weights reflect the actual importance or reliability of each data point.
Computational pitfalls
Beyond weight selection, common computational errors include using zero weights (which removes data points), negative weights (which can produce counterintuitive results), and forgetting to normalize weights when necessary. Division by zero occurs when all weights are zero.
Always double-check your weight assignments and ensure proper normalization, especially when working with percentage-based weights that should sum to 100%.
How to Calculate Weighted Average: Excel, AI, and Python
Having covered the theory and potential challenges, let's turn to the practical side. Calculating a weighted average can be done in several ways, from traditional formulas to modern AI-powered tools.
Method 1: The Traditional Excel Method (Using Formulas)
Excel makes weighted average calculations straightforward using the SUMPRODUCT() and SUM() functions. SUMPRODUCT multiplies corresponding components in the given arrays and returns the sum of those products.
The formula structure is:
=SUMPRODUCT(values, weights)/SUM(weights)
For example, if your values are in cells A2:A6 and their corresponding weights are in B2:B6, the formula would be:
=SUMPRODUCT(A2:A6, B2:B6) / SUM(B2:B6)
This method is reliable but requires you to know the correct functions and ensure your cell ranges are accurate. For large or dynamic datasets, managing these formulas can become cumbersome.
Method 2: The Modern AI Method (Using Excelmatic)
A faster and more intuitive approach is to use an AI Excel Agent like Excelmatic. Instead of writing formulas, you can simply state your request in plain language. Excelmatic handles the rest, from interpreting your request to performing the calculation.

Here's how it works:
- Upload your Excel file containing the values and weights.
- Ask your question in plain language.
For the same example, you would simply ask:
Calculate the weighted average of the values in column A using the weights in column B.

Excelmatic instantly processes your data and provides the answer, eliminating the need to remember formulas or worry about cell references.
Comparison: Traditional Formula vs. AI Agent
| Feature | Traditional Excel (SUMPRODUCT) | AI-Powered Excelmatic |
|---|---|---|
| Effort | Requires knowledge of SUMPRODUCT and SUM functions and correct syntax. |
Just ask in plain language. No formulas needed. |
| Speed | Fast for experienced users, but prone to typos and range errors. | Instantaneous. The AI handles all the backend calculations. |
| Flexibility | Rigid. The formula must be manually updated if data ranges change. | Highly flexible. The AI understands context and adapts to new questions. |
| Learning Curve | Moderate. You need to learn and remember specific Excel functions. | Virtually zero. If you can ask a question, you can use it. |
Using an AI tool like Excelmatic not only simplifies the process but also reduces the chance of human error, making your analysis faster and more accurate.
Method 3: How to Calculate Weighted Average in Python
For those working in Python, the NumPy library provides an elegant solution, though you can also calculate weighted averages manually:
import numpy as np
# Define values and weights
values = [85, 92, 78, 95]
weights = [0.2, 0.3, 0.25, 0.25]
# Calculate weighted average
weighted_avg = np.average(values, weights=weights)
print(f"Weighted average: {weighted_avg:.2f}")
# Alternative manual calculation
manual_calc = sum(v * w for v, w in zip(values, weights)) / sum(weights)
print(f"Manual calculation: {manual_calc:.2f}")
Weighted Average Formula in Real, Domain-Specific Applications
Now that you know how to calculate weighted averages, let's explore how they solve real problems across different fields. These examples will help you recognize situations where weighted averages can improve your own analysis.
Educational grading system
Academic grading systems commonly use weighted averages to balance different types of assessments. A typical course might weigh exams at 60%, homework at 25%, and participation at 15%.
If a student scores 88 on exams, 95 on homework, and 92 on participation, their final grade would be: (88×0.6) + (95×0.25) + (92×0.15) = 90.35. This approach ensures that more important assessments have a greater impact on the final grade.
Financial inventory valuation
In business applications, companies often use the weighted average cost (WAC) method to value inventory when goods are purchased at different prices during a period. Unlike a simple arithmetic mean, WAC incorporates purchase quantities, which smooths out price fluctuations and provides a consistent cost basis for financial reporting.
For example, if a company buys 100 units at $10 and 300 units at $12, the weighted average cost is $11.50, not $11.00 as a simple average would suggest.
Financial analysis
In finance, weighted averages extend far beyond inventory. Portfolio management relies on them to calculate expected returns and risks, with each asset’s weight based on its proportion of the total portfolio value. This ensures larger holdings have more influence than smaller ones.
Similarly, the Weighted Average Cost of Capital (WACC) applies the same principle: it represents a firm’s average cost of financing by weighting the costs of debt and equity in proportion to their share of the capital structure. WACC is a key input in valuation models and investment decisions, as it serves as the company’s hurdle rate for generating returns.
Statistical surveying
In the research world, survey analysis uses weighted averages to adjust for demographic imbalances and ensure representative results. If your survey under-samples certain age groups, you can weight responses to match the actual population distribution.
This adjustment helps eliminate sampling bias and produces more accurate insights about the broader population you're studying.
Inventory accounting
Returning to practical business applications, the moving average method in inventory accounting uses weighted averages to determine cost of goods sold. Each new purchase updates the average cost per unit based on remaining inventory and new additions.
This approach smooths price volatility and provides stable cost estimates for financial reporting, making it easier to track profitability trends over time.
Area-weighted building inputs and other specialized contexts
Beyond these common applications, engineering applications often use area-weighted averages for building energy calculations, where different zones contribute to overall building performance based on their size.
Similar concepts appear in geographic information systems (GIS) for spatial analysis and in manufacturing for quality control across different production areas.
Comparative Analysis With Other Averages
With all these applications in mind, you might be wondering how to choose between weighted averages and other averaging methods. Understanding these distinctions will help you select the right approach for your specific situation.
Arithmetic vs. weighted mean
Arithmetic means assume all data points are equally important and representative. Weighted averages explicitly account for differences in importance, reliability, or frequency among data points.
Choose weighted averages when your data naturally has different levels of significance or when you need to adjust for sampling imbalances. Use simple arithmetic means when all data points truly deserve equal consideration.
Geometric mean
Geometric means work best for multiplicative data like growth rates or ratios, where you want to find the average rate of change over time. However, geometric means don't naturally accommodate weighting.
While you can create weighted geometric means using logarithms, this approach is mathematically complex and less intuitive than weighted arithmetic means for most applications.
Advantages and Disadvantages of Weighted Averages
Before diving into more advanced topics, it's worth stepping back to consider the broader trade-offs involved in using weighted averages.
Pros of weighted averages
Weighted averages provide superior accuracy when data points naturally vary in importance or reliability. They offer flexibility to adjust calculations based on domain knowledge and can better represent real-world scenarios where not all observations are equal.
This approach excels in situations requiring demographic adjustments, portfolio analysis, or any context where sample sizes or measurement confidence varies across data points.
Cons of weighted averages
The main limitation is subjectivity in weight selection, which can introduce bias if done poorly. Weighted averages are also more sensitive to outliers with high weights and prone to errors if weights are assigned incorrectly.
Additionally, they require more computational effort and domain expertise compared to simple averages, making them unnecessarily complex for situations where equal weighting is appropriate.
More Advanced and Theoretical Extensions
For readers interested in pushing beyond basic applications, weighted averages extend into more sophisticated mathematical territory that opens up additional analytical possibilities.
Continuous weighted averages
Weighted averages can extend to continuous functions using integral calculus. Instead of discrete weights and values, you integrate over continuous weight and value functions:

This approach appears in physics for calculating centers of mass and in probability theory for continuous distributions.
Expected value in probability
Building on this mathematical foundation, in probability theory, expected value represents the weighted average of all possible outcomes, where weights are the probabilities of each outcome occurring.
Expected values help predict long-term outcomes in uncertain situations, from casino games to investment returns, making them essential tools for risk assessment and decision-making.
Conclusion
Weighted averages provide a more nuanced and accurate approach to data analysis when your observations naturally vary in importance, frequency, or reliability. From academic grading to portfolio management, they enhance decision-making by properly accounting for the relative significance of different data points.
As you begin incorporating weighted averages into your analysis, remember that the technique's power comes from its ability to reflect real-world complexities. Whether you're a formula wizard using SUMPRODUCT or leveraging the speed of an AI agent, the goal remains the same: to make more informed decisions by giving appropriate influence to the information that matters most.
Ready to simplify your weighted average calculations and focus on insights instead of formulas? Try Excelmatic for free today and experience how AI-powered data analysis can transform your workflow.
Weighted Average Formula FAQs
How do you determine the weights for a weighted average?
Weight selection depends on your specific context and requires domain expertise. Common approaches include using sample sizes (larger samples get higher weights), reliability scores (more accurate measurements get higher weights), time periods (more recent data gets higher weights), or business importance (critical metrics get higher weights). Always ensure weights reflect the actual significance of each data point.
Can you provide real-life examples of weighted averages in finance?
Financial applications include portfolio returns (each stock weighted by its percentage of total investment), Weighted Average Cost of Capital (debt and equity costs weighted by their proportions), credit scores (different factors weighted by importance), and inventory valuation (purchase costs weighted by quantities). These applications recognize that different components contribute unequally to the final result.
What are the differences between weighted averages and simple averages?
Simple averages treat all data points equally, while weighted averages assign different levels of importance to each point. Simple averages work well when all observations are equally valid and representative. Weighted averages are superior when data points vary in sample size, reliability, importance, or frequency. The choice depends on whether equal treatment of all data points makes sense for your specific situation.
How do you calculate a weighted average when the weights don't sum to 1?
When weights don't sum to 1, use the standard formula: divide the sum of (value × weight) by the sum of all weights. For example, with values [80, 90, 95] and weights [2, 3, 5], calculate: (80×2 + 90×3 + 95×5) ÷ (2+3+5) = 90.5. The formula automatically normalizes weights, so you don't need to manually adjust them to sum to 1.
Why is the weighted average preferred over the simple average in some cases?
Weighted averages are preferred when data points naturally have different levels of importance, reliability, or representativeness. For example, when calculating average customer ratings, reviews from verified purchasers might deserve more weight than anonymous reviews. Similarly, in survey research, responses need weighting to match population demographics. Use weighted averages whenever equal treatment of all data points would produce misleading results.
Can weighted averages be used with non-numeric weights?
No, weights must be numeric values that represent the relative importance or frequency of each data point. However, you can convert categorical importance levels (like "high," "medium," "low") into numeric weights (like 3, 2, 1). The key is ensuring your numeric weights accurately reflect the relative significance you want to assign to each data point.





